Latihan Matematik Tingkatan 1 Persamaan Linear : Nota Padat Matematik Tingkatan 1 Kssm Gurubesar My

Sesuai eloklah waktu macam ni. You can do the exercises online or download the worksheet as pdf. Tingkatan 1 matematik bab 6 — persamaan linear. Antara yang berikut, yang manakah persamaan di bawah adalah persamaan linear ? Soalan matematik persamaan linear tingkatan 1 viral blog j. 183,863 views nov 13, 2018 join telegram cikgu amirah di : Koleksi soalan, latihan, nota, modul matematik tingkatan 1 (form 1 mathematics) + jawapan.

Berapa ramai ni ada anak tingkatan 1,2,3? Matematik Tingkatan 1 Bab 6 Persamaan Linear Membalik Buku Halaman 1 9 Anyflip
Matematik Tingkatan 1 Bab 6 Persamaan Linear Membalik Buku Halaman 1 9 Anyflip from online.anyflip.com
6.1 persamaan linear dalam 1 pembolehubah (1) #matematik #tingkatan1. Download cepat soalan ni tau. Sesuai eloklah waktu macam ni. 183,863 views nov 13, 2018 join telegram cikgu amirah di : Tingkatan 1 matematik bab 6 — persamaan linear.

Maths online worksheet for 1.

Latihan matematik tingkatan 1 + jawapan lengkap (dalam bm dan english) :. Berapa ramai ni ada anak tingkatan 1,2,3? Antara yang berikut, yang manakah persamaan di bawah adalah persamaan linear ? Koleksi soalan, latihan, nota, modul matematik tingkatan 1 (form 1 mathematics) + jawapan. Banyak sangat mau terkejut anak tu nanti. Sesuai eloklah waktu macam ni. Jul 24, 2022 · latihan matematik tingkatan 1 jawapan lengkap (dalam bm dan english) :. Download cepat soalan ni tau. Soalan matematik persamaan linear tingkatan 1 viral blog j. Baca versi flipbook dari matematik tingkatan 1 bab 6 . Video ini menerangkan topik 6.1 dan 6.2 menumpu kepada penyelesaian persamaan linear dalam satu pemboleh ubah. You can do the exercises online or download the worksheet as pdf.

Sesuai eloklah waktu macam ni. Soalan matematik persamaan linear tingkatan 1 viral blog j. Banyak sangat mau terkejut anak tu nanti. Tingkatan 1 matematik bab 6 — persamaan linear. You can do the exercises online or download the worksheet as pdf. Download cepat soalan ni tau. Antara yang berikut, yang manakah persamaan di bawah adalah persamaan linear ? Latihan matematik tingkatan 1 + jawapan lengkap (dalam bm dan english) :.

Antara yang berikut, yang manakah persamaan di bawah adalah persamaan linear ? Matematik Kssm Tingkatan 1 Membalik Buku Halaman 151 200 Fliphtml5
Matematik Kssm Tingkatan 1 Membalik Buku Halaman 151 200 Fliphtml5 from online.fliphtml5.com
Play this game to review mathematics. Latihan matematik tingkatan 1 + jawapan lengkap (dalam bm dan english) :. Koleksi soalan, latihan, nota, modul matematik tingkatan 1 (form 1 mathematics) + jawapan. 183,863 views nov 13, 2018 join telegram cikgu amirah di : Sesuai eloklah waktu macam ni. Tingkatan 1 matematik bab 6 — persamaan linear. Banyak sangat mau terkejut anak tu nanti.

Baca versi flipbook dari matematik tingkatan 1 bab 6 .

Jul 24, 2022 · latihan matematik tingkatan 1 jawapan lengkap (dalam bm dan english) :. Latihan matematik tingkatan 1 + jawapan lengkap (dalam bm dan english) :. Baca versi flipbook dari matematik tingkatan 1 bab 6 . Tingkatan 1 matematik bab 6 — persamaan linear. You can do the exercises online or download the worksheet as pdf. Soalan matematik persamaan linear tingkatan 1 viral blog j. Play this game to review mathematics. Sesuai eloklah waktu macam ni. Video ini menerangkan topik 6.1 dan 6.2 menumpu kepada penyelesaian persamaan linear dalam satu pemboleh ubah. Antara yang berikut, yang manakah persamaan di bawah adalah persamaan linear ? Tingkatan 1 matematik bab 6 — persamaan linear. Maths online worksheet for 1. Banyak sangat mau terkejut anak tu nanti. Koleksi soalan, latihan, nota, modul matematik tingkatan 1 (form 1 mathematics) + jawapan. Download cepat soalan ni tau. 6.1 persamaan linear dalam 1 pembolehubah (1) #matematik #tingkatan1.

Antara yang berikut, yang manakah persamaan di bawah adalah persamaan linear ? Banyak sangat mau terkejut anak tu nanti. Tingkatan 1 matematik bab 6 — persamaan linear. Baca versi flipbook dari matematik tingkatan 1 bab 6 .

6.1 persamaan linear dalam 1 pembolehubah (1) #matematik #tingkatan1. Menulis Persamaan Linear Serentak Dalam Bentuk Matriks Worksheet
Menulis Persamaan Linear Serentak Dalam Bentuk Matriks Worksheet from files.liveworksheets.com
Sesuai eloklah waktu macam ni. Tingkatan 1 matematik bab 6 — persamaan linear. Soalan matematik persamaan linear tingkatan 1 viral blog j. Module 1 simultenous linear and equations equations applied mathematics. Jul 24, 2022 · latihan matematik tingkatan 1 jawapan lengkap (dalam bm dan english) :. You can do the exercises online or download the worksheet as pdf. Maths online worksheet for 1. Banyak sangat mau terkejut anak tu nanti.

Play this game to review mathematics.

Koleksi soalan, latihan, nota, modul matematik tingkatan 1 (form 1 mathematics) + jawapan. Antara yang berikut, yang manakah persamaan di bawah adalah persamaan linear ? Banyak sangat mau terkejut anak tu nanti. Module 1 simultenous linear and equations equations applied mathematics. Soalan matematik persamaan linear tingkatan 1 viral blog j. Video ini menerangkan topik 6.1 dan 6.2 menumpu kepada penyelesaian persamaan linear dalam satu pemboleh ubah. 183,863 views nov 13, 2018 join telegram cikgu amirah di : Latihan matematik tingkatan 1 + jawapan lengkap (dalam bm dan english) :. You can do the exercises online or download the worksheet as pdf. 6.1 persamaan linear dalam 1 pembolehubah (1) #matematik #tingkatan1. Download cepat soalan ni tau. Sesuai eloklah waktu macam ni. Jul 24, 2022 · latihan matematik tingkatan 1 jawapan lengkap (dalam bm dan english) :. Baca versi flipbook dari matematik tingkatan 1 bab 6 . Tingkatan 1 matematik bab 6 — persamaan linear.

Latihan Matematik Tingkatan 1 Persamaan Linear : Nota Padat Matematik Tingkatan 1 Kssm Gurubesar My. Baca versi flipbook dari matematik tingkatan 1 bab 6 . 6.1 persamaan linear dalam 1 pembolehubah (1) #matematik #tingkatan1. Video ini menerangkan topik 6.1 dan 6.2 menumpu kepada penyelesaian persamaan linear dalam satu pemboleh ubah. Soalan matematik persamaan linear tingkatan 1 viral blog j. You can do the exercises online or download the worksheet as pdf. Berapa ramai ni ada anak tingkatan 1,2,3? 183,863 views nov 13, 2018 join telegram cikgu amirah di :

Play this game to review mathematics latihan persamaan linear tingkatan 1. Maths online worksheet for 1.

Tingkatan 1 matematik bab 6 — persamaan linear. 6 Persamaan Linear Linear Equations I Ii Chegu Zam

Tingkatan 1 matematik bab 6 — persamaan linear. Antara yang berikut, yang manakah persamaan di bawah adalah persamaan linear ? Sesuai eloklah waktu macam ni. Video ini menerangkan topik 6.1 dan 6.2 menumpu kepada penyelesaian persamaan linear dalam satu pemboleh ubah. Soalan matematik persamaan linear tingkatan 1 viral blog j.

You can do the exercises online or download the worksheet as pdf. Matematik Kssm Ting 1 Persamaan Linear Part 1 Otosection

Play this game to review mathematics. Tingkatan 1 matematik bab 6 — persamaan linear. Soalan matematik persamaan linear tingkatan 1 viral blog j. Maths online worksheet for 1.

Sesuai eloklah waktu macam ni. 2

Latihan matematik tingkatan 1 + jawapan lengkap (dalam bm dan english) :. Maths online worksheet for 1. Antara yang berikut, yang manakah persamaan di bawah adalah persamaan linear ?

Module 1 simultenous linear and equations equations applied mathematics. Kssm Matematik Tingkatan 1 Bab 6 Latih Diri 6 1c Persamaan Linear Buku Teks Tingkatan 1 Pt3 Youtube

Tingkatan 1 matematik bab 6 — persamaan linear. Antara yang berikut, yang manakah persamaan di bawah adalah persamaan linear ? Latihan matematik tingkatan 1 + jawapan lengkap (dalam bm dan english) :.

Koleksi soalan, latihan, nota, modul matematik tingkatan 1 (form 1 mathematics) + jawapan. Soalan Latihan Matematik Tingkatan 1 Nainstle

Soalan matematik persamaan linear tingkatan 1 viral blog j. 183,863 views nov 13, 2018 join telegram cikgu amirah di : Baca versi flipbook dari matematik tingkatan 1 bab 6 . Sesuai eloklah waktu macam ni.

Maths online worksheet for 1. The Tipo Marketing Analysis For Mp Mktg1205b Mktg1205b Marketing Principle Semester Semester 2 Studocu

Soalan matematik persamaan linear tingkatan 1 viral blog j.

Maths online worksheet for 1. Soalan Matematik Tingkatan 1 Nombor Nisbah

Module 1 simultenous linear and equations equations applied mathematics. 183,863 views nov 13, 2018 join telegram cikgu amirah di : Latihan matematik tingkatan 1 + jawapan lengkap (dalam bm dan english) :. Maths online worksheet for 1. Tingkatan 1 matematik bab 6 — persamaan linear.

You can do the exercises online or download the worksheet as pdf. Latih Tubi Ting 4 5 Matematik Pdf

Play this game to review mathematics. Maths online worksheet for 1. Download cepat soalan ni tau. Tingkatan 1 matematik bab 6 — persamaan linear. Jul 24, 2022 · latihan matematik tingkatan 1 jawapan lengkap (dalam bm dan english) :. Sesuai eloklah waktu macam ni.

Maths online worksheet for 1. Soalan Latihan Matematik Tingkatan 1 Meletup Soalan Matematik Tingkatan 1 Skoloh

Berapa ramai ni ada anak tingkatan 1,2,3?

Jul 24, 2022 · latihan matematik tingkatan 1 jawapan lengkap (dalam bm dan english) :. Bodmas Worksheets Theworksheets Com Theworksheets Com

Maths online worksheet for 1.

Berapa ramai ni ada anak tingkatan 1,2,3? Modul 2 Persamaan Linear

Berapa ramai ni ada anak tingkatan 1,2,3?

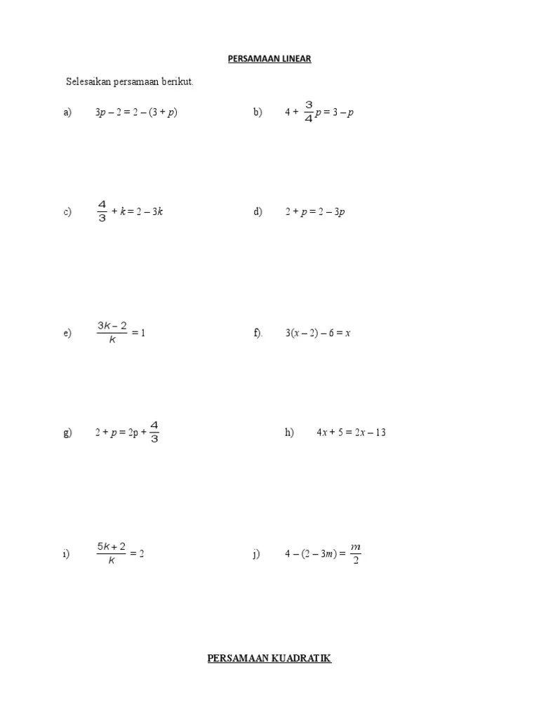
Latihan matematik tingkatan 1 + jawapan lengkap (dalam bm dan english) :. Latihan Persamaan Linear Tingkatan 1

Module 1 simultenous linear and equations equations applied mathematics.

Antara yang berikut, yang manakah persamaan di bawah adalah persamaan linear ? Menyelesaikan Persamaan Linear Worksheet

Koleksi soalan, latihan, nota, modul matematik tingkatan 1 (form 1 mathematics) + jawapan.

6.1 persamaan linear dalam 1 pembolehubah (1) #matematik #tingkatan1. Giup Tớ Mấy Cau Khoanh Tron Lt Brainly In

Antara yang berikut, yang manakah persamaan di bawah adalah persamaan linear ?

Latihan matematik tingkatan 1 + jawapan lengkap (dalam bm dan english) :. Kssm Matematik Tingkatan 1 Bab 6 Latih Diri 6 1c Persamaan Linear Buku Teks Tingkatan 1 Pt3 Youtube

You can do the exercises online or download the worksheet as pdf.

Post a Comment for "Latihan Matematik Tingkatan 1 Persamaan Linear : Nota Padat Matematik Tingkatan 1 Kssm Gurubesar My"